Related to: Deep Learning
RNN(Recurrent Neural Networks)

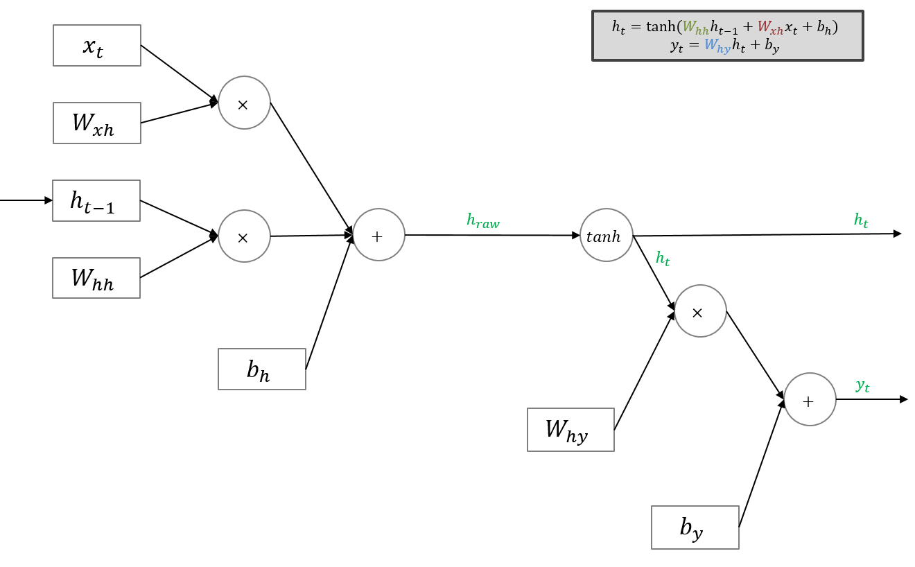
- 녹색 박스는 hidden state를 의미
- 빨간 박스는 input data를 의미
- 파란 박스는 output data를 의미
- 현 시점의 hidden state()는 이전 시점의 hidden state()을 받아 갱신됨
- 첫 번째 RNN의 경우, 이전 hidden state가 존재하지 않으므로 0을 입력


참조
https://ratsgo.github.io/natural language processing/2017/03/09/rnnlstm/